当前位置: 首页 >同业动态 >【笛曲欣赏】《小河淌水》俞逊发即兴演奏(附曲谱)

【笛曲欣赏】《小河淌水》俞逊发即兴演奏(附曲谱)

2022-05-16 22:29:42


每天推送总第412期!2017第212期。精心编选,用心编辑。每天七点,准时送达!一切,都是为了观看管乐飞扬的您---我的朋友!



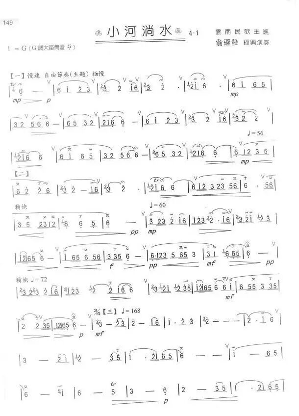
《小河淌水》曲谱

资料来源网络,本平台仅作分享,版权归原作者所有。


     

长按二维码关注吧

走过路过 不要错过

              传承国乐  传播国乐  

              管乐飞扬  每天七点

              与您有约  不见不散


直接点击 关键词 查看以往的精彩~

牧笛南词  |  泉水叮咚  | 卖菜 | 绿洲 | 欢乐斗地主 | 魂斗三国 纵马长歌 猪八戒背媳妇 |  御天九式 |  大笑江湖 | 牧云谣 |  杀猪刀 | 千本樱 |  迎宾曲 |  阳光照耀着帕米尔 | 沂河欢歌 | 扮仙 | 梁祝 |  江河水 |  丢丢铜仔  |  运粮忙 | 高原上的节日 | 喜讯 | G大调协奏曲 |  野蜂飞舞 | 牧民新歌 百鸟引 草原的思念 | 小放牛 | 百鸟迎春 | 姑苏行 | 三五七 | 鹧鸪飞  | 名家谈笛 学术文论 笛子教学 |  笛曲欣赏 | 笛子资料集锦 | 五梆子 | 喜相逢  | 雨碎江南 | 问情

点击“阅读原文”,更多精彩内容任您看!

↓↓↓↓